腈吡螨酯:一款优秀的杀虫杀螨剂,新药保护期届满,已有企业捷足先登
2022年12月29日,生态环境部、工业和信息化部、农业农村部、商务部、海关总署、国家市场监督管理总局联合发布了《重点管控新污染物清单(2023年版)》,包括“三氯杀螨醇”等多个农药产品被列入重点管控新污染物清单,自2023年3月1日起施行。
螨类作为农业生产过程中一类重要害虫,具有个体微小、繁殖快、发育历期短以及适应性强等特点,一直是农业生产中非常难以防治的害虫类群。通常以幼螨、若螨和成螨在植株的叶背取食危害,造成叶片产生褪绿的斑点,严重时可导致叶片干枯,抑制植株生长并导致减产。
腈吡螨酯(商品名称:Starmite (Nissan)、Valuestar)是21世纪初由日产化学工业株式会社开发的新型吡唑类杀螨剂,具有低毒、低用量和杀螨谱广等特点,并且与现有的主流杀螨剂无交互抗性。自推向市场以来,被广泛用于防治蔬菜、水果及茶叶等多种作物上的螨类害虫。其在国内化合物专利(CN1227229C)于2017年4月已到期,今年也就是2023年5月也将过新农药保护期。
腈吡螨酯通用名称:Cyenopyrafen;CAS号:560121–52–0;分子式:C24H31N3O2;分子量:393.5;IUPAC化学名称为:(E)-2-(4-特丁基苯基)-2-氰基-1-(1,3,4-三甲基吡唑-5-基)乙烯基2,2-二甲基丙酸酯;结构式如图1。

图1 腈吡螨酯的结构式
其理化性质如下:
外观:灰白色结晶固体;
密度:1.11(20℃);
熔点:106.7~108.2℃;
蒸气压:5.2×10-4 mPa(25℃);
分配系数(正辛醇/水):Kow logP=5.6;
亨利常数:3.8×10-5 Pa·m3/mol;
溶解度:在水中0.30mg/L(20℃);
稳定性:54℃14天稳定。水解DT50=0.9 d(pH 9,25℃)。
毒性
哺乳动物毒性:腈吡螨酯属于微毒农药,大鼠急性经口毒性LD50>5000mg/kg,大鼠急性经皮毒性LD50>5000mg/kg,大鼠急性吸入毒性LC50(4h)>5.01mg/L,大鼠ADI/RfD 0.05mg/kg。
生态毒性:山齿鹑急性经口LD50>2000mg/kg。虹鳟鱼LC50(96h) 18.3μg/L。水蚤LC50(48h)2.94μg/L(极限溶解度)。绿藻EbC50(72h)〉0.03mg/L。蜜蜂LD50(48h)>100μg(a.i.)/只(经口和接触)。蚯蚓LD50(14d)>1000mg/kg(土壤)。对鸟类、鱼类、蜜蜂、蚯蚓等环境生物低毒,对蚤类及水藻等生物具有较高毒性。15g/hL的剂量下,对掠食性螨虫、草蛉、花蝽、蜜蜂、大黄蜂等生物没有明显影响。
腈吡螨酯是触杀型杀螨剂,作用机理是主要与去酯化烯醇的活化代谢有关,通过破坏呼吸电子传递链中的复合物 II(琥珀酸脱氢酶)来抑制线粒的功能。
合成方法
经相关文献查询[1],腈吡螨酯的合成工艺路线主要是由1,3,4-三甲基-吡唑-5-甲酸乙酯(中间体6)与4-叔丁基苯乙腈反应得到2-(4-叔丁基苯基)-3-羟基-3-(1,3,4-三甲基-1H-吡唑-5-基)丙烯腈(中间体10),再与2,2-二甲基丙酰氯反应得到腈吡螨酯原药,合成路线如图2所示。

图2 腈吡螨酯的合成路线
其中中间体6的合成路线有如下两条:
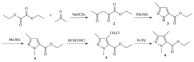
路线1:以草酸二乙酯为原料,然后经过缩合、环化、甲基化、氯甲基化、氢化等反应得到中间体6。该合成路线较长,需要用钯催化,且反应需要在高于下进行,收率也较低。

路线2:以2-溴乙酸乙酯与甲基肼反应,然后经缩合、环化反应即可得到中间体6。该合成路线短,原药易得,工艺相对简单,收率较高。刘瑞宾等实验中间体6收率为75%,此路线最终合成的腈吡螨酯最终收率为93%。

开发与登记
1、2008年,腈吡螨酯在日本和韩国初次登记,2009年上市。
2、2013年,腈吡螨酯进入哥伦比亚和厄瓜多尔市场,主要用于观赏植物。
3、2017年5月31日,腈吡螨酯在我国获得临时登记,2019年1月30日获得正式登记。经中国农药信息网查询,截止目前腈吡螨酯在国内登记的仅为日产化学株式会社1家公司的2个产品,分别95%腈吡螨酯原药(PD20190053)以及的30%腈吡螨酯悬浮剂(PD20190052),用于防治苹果树二斑叶螨和红蜘蛛以及草莓二斑叶螨。
前景展望
腈吡螨酯和丁氟螨酯(日本大冢化学,2007年上市)、乙唑螨腈(沈阳中化,2017年上市)等一样,主要作用位点是线粒体复合体II电子传递抑制剂。不仅结构新颖,而且作用机制独特,与现有杀螨剂无交互抗性,并对非靶标生物安全,是较为理想的杀螨剂,迎合了农业生产的需求。
腈吡螨酯主要用于水果和蔬菜,市场对高品质水果和蔬菜追求越来越高,迎合了市场的呼声。
今年5月,腈吡螨酯在我国即将过新农药保护期,无疑会成为受到市场热捧。
游客可直接评论,建议先注册为会员后评论!
以上评论仅代表会员个人观点,不代表中国农药网观点!



