总投资2亿元,拟建年产1700吨杀虫剂及中间体项目!更多农药产品新建、登记及市场动向......
编者按:如果企业是一棵大树,那么产品就是企业的根和生命之源,企业之间的竞争归根结底还是产品的竞争。因此,如何更好地捕获、掌握并进行深入分析研究各种有价值的产品信息,如何研发、生产、登记和推广应用好一个产品,这些对企业都至关重要。我们将在每周日汇总推出行业和企业热点和重点产品有关新建、登记、市场和应用的最新动态,以供企业决策和经营。
一 周 农 药
总投资2亿元,拟建年产1700吨杀虫剂及中间体项目
近日,湖北中农化工有限公司农药、医药中间体建设项目环境影响报告书公示。
该项目投资2亿元。建设地点为湖北省荆州市江陵县化工园C区。项目建成后的生产总规模为1,700吨/年,包括300吨/年右旋反式菊酸,300吨/年 2,3,5,6-四氟-4-甲氧甲基苄醇,100吨/年 2,3,5,6-四氟苄醇,300吨/年四氟甲醚菊酯,100吨/年七氟甲醚菊酯,200吨/年四氟苯菊酯,400吨/年氯烯炔菊酯。
右旋反式菊酸、2,3,5,6-四氟-4-甲氧甲基苄醇、2,3,5,6-四氟苄醇是合成光学活性拟除虫菊酯农药的关键中间体,主要用于合成四氟苯菊酯等原药的重要中间体原料。
润丰股份年产30000吨草甘膦可溶粒剂等项目暂缓投建
近日,山东潍坊润丰化工股份有限公司(简称“润丰股份”)发布了关于部分募投项目延期的公告。公司于2024年6月27日召开了第四届董事会第十九次会议、第四届监事会第十九次会议,分别审议通过了《关于部分募投项目延期的议案》,同意公司结合目前募集资金投资项目的实际进展情况,对部分募集资金投资项目达到预计可使用状态的时间进行调整。
公司于2022年6月29日召开第三届董事会第三十四次会议和第三届监事会第二十三次会议,并于 2022年7月15日召开2022年第二次临时股东大会审议通过了《关于部分募集资金投资项目结项并将节余募集资金投入新项目及变更部分募集资金投资项目的议案》,将“年产1,000吨高效杀菌剂项目”变更为“高效杀虫杀菌剂技改项目”新募投项目;将“年产1万吨高端制剂项目”结项后的节余募集资金投入“年产38,800吨除草剂项目(一期)——30,000吨/年草甘膦可溶粒剂”;将“年产35,300吨除草剂产品加工项目”变更为“年产9,000吨克菌丹项目”,将“植保产品研发中心项目(原)”变更为“植保产品研发中心项目”。变更后的新募投项目“高效杀虫杀菌剂技改项目”“年产38,800吨除草剂项目(一期)——30,000吨/年草甘膦可溶粒剂” “年产9,000吨克菌丹项目” “植保产品研发中心项目”建设期分别为12个月、12个月、18个月、24个月,原计划达到预定可使用状态日期为2023年7月、2023年7月、2024年1月、2024年7月。
公司于2023年6月21日召开了第四届董事会第十一次会议、第四届监事会第十一次会议,分别审议通过了《关于部分募投项目延期的议案》,同意公司结合目前募集资金投资项目的实际进展情况,将募投项目“高效杀虫杀菌剂技改项目”“年产38,800吨除草剂项目(一期)——30,000吨/年草甘膦可溶粒剂”“年产9,000吨克菌丹项目”计划达到预定可使用状态日期均延期至2024年7月。
(1)年产38,800吨除草剂项目(一期)——30,000吨/年草甘膦可溶粒剂
为了落实公司先进制造发展战略,公司秉承先进、可靠的开发理念,在原有可溶粒剂生产技术基础上,结合在草甘膦可溶粒剂连续化生产方面的近期技术成果,对于该项目的部分工程设计与设备方案进行了改进提升。该项目是基于公司中期战略规划确定的,但由于目前行业周期及市场环境复杂多变,基于对宏观经济和行业形势的审慎判断,为了保护全体股东和公司的利益,降低投资风险,公司暂缓该项目的投资建设。经过审慎研究,公司决定将“年产38,800吨除草剂项目(一期)——30,000吨/年草甘膦可溶粒剂”项目达到预计可使用状态时间调整为2025年7月。
(2)高效杀虫杀菌剂技改项目
根据落实先进制造发展战略的相关要求,公司参考现有生产经验、技术储备并借鉴当前同行业先进经验,对项目中相关制剂生产工艺设计、设备选型进行了优化升级,进一步加强生产过程的自动化、连续化,实现降本增效,但目前行业较为低迷,不确定因素增加,为了保护全体股东和公司的利益,降低投资风险,公司暂缓该项目的建设进度。经过审慎研究,公司决定将“高效杀虫杀菌剂技改项目”达到预计可使用状态时间调整为2025年7月。
(3)年产9,000吨克菌丹项目
“年产9,000吨克菌丹项目”于2022年12月取得环评手续,较原计划有所推迟,使得开工时间相应延迟,目前处于土建施工、设备订货阶段。公司对该项目的工艺设计进行一定的优化调整升级,部分装置、设备需要重新设计、选型,也使得该项目进度有所放缓。此外,该项目是基于公司中期战略规划确定的,但由于目前行业周期及市场环境复杂多变,基于对行业形势的审慎判断,为了保护全体股东和公司的利益,降低投资风险,公司暂缓该项目的投资建设。经过审慎研究,公司决定将达到预计可使用状态时间调整为 2025年7月。
(4)植保产品研发中心项目
植保产品研发中心项目包括多种产品的中试生产装置,受工艺技术参数调整影响,环评手续办理时间有所延长,于2023年8月取得环评批复并开工建设,此外,根据项目工艺技术调整情况,部分装置、设备需要重新设计、选型,使得该项目进度有所延迟。经过审慎研究,公司决定将“植保产品研发中心项目”达到预计可使用状态时间调整为2025年7月。
(5)农药产品境外登记项目
公司募集资金投资项目于2017年5月由第二届董事会第六次会议审议通过,距离现在已经过了较长时间,在此期间市场形势等客观情况和公司战略目标均发生了较大变化,根据公司的中期战略规划,为了更好地发挥募集资金作用,公司于2021年10月14日召开第三届董事会第二十五次会议和第三届监事会第十五次会议,并于2021年11月01日召开2021年第七次临时股东大会,分别审议通过了《关于农药产品境外登记项目调整实施国家及投资结构的议案》,对农药产品境外登记项目实施范围进行调整,并对全球市场拓展境外登记计划进行同步更新,项目实施范围涉及国家较多,每个国家的产品登记清单都要经过深入调研、充分论证后实施,使得境外登记计划进度放缓。经过审慎研究,公司决定将“农药产品境外登记项目”达到预计可使用状态时间调整为2024年12月。
内蒙古海泰科技拟建3000吨粉唑醇中间体、6000吨三嗪酮技改等项目
近日,内蒙古海泰科技有限公司年产1万吨精细化工中间体项目(2,4-二氟二苯甲酮及2,4-二氯苯乙酮重新报批)和年产4000吨硫代卡巴肼和6000吨三嗪酮升级改造项目环评公示。
内蒙古海泰科技有限公司年产1万吨精细化工中间体项目(2,4-二氟二苯甲酮及2,4-二氯苯乙酮重新报批)。
建设内容为对2,4-二氟二苯甲酮及2,4-二氯苯乙酮重新报批,2,4-二氟二苯甲酮及2,4-二氯苯乙酮共用一条生产线,在现有六车间内建设2,4-二氟二苯甲酮及2,4-二氯苯乙酮生产线1条,建设1条副产三氯化铝生产线,废气处理措施等其他辅助设施。
内蒙古海泰科技有限公司年产4000吨硫代卡巴肼和6000吨三嗪酮升级改造项目内容为对现有硫代卡巴肼进行技术改造,对三嗪酮装置进行扩建,在现有硫代卡巴肼车间内增加反应釜、二硫化碳计量罐等设备,建设一套年产4000吨硫代卡巴肼生产装置;在现有三嗪酮车间内增加部分设备扩大产能,建设一套年产6000吨三嗪酮生产装置。
山东国邦拟建植保农药中间体平台等项目
近日,山东国邦药业有限公司年产200t甲砜霉素项目、植保健康高效农药中间体产业链研发平台项目及年产6000吨硼氢化钠与8500吨4-氯代丁酸甲酯及其89500吨相关中间体项目(二期)项目批准在相关网站公示。
年产200t甲砜霉素项目建设地点为潍坊滨海经济开发区先进制造业产业园香江西一街02131号,山东国邦药业有限公司八零一分公司厂区内。建设内容为项目依托厂区内原有生产车间,依托及新购置反应釜过滤器、真空泵、磁力机等生产设备约22台(套)。项目建成后,可实现年产甲砜霉素200t。
植保健康高效农药中间体产业链研发平台项目建设地点为山东省潍坊市滨海经济技术开发区滨海化工产业园临港路06335号,山东国邦药业有限公司八零五分公司厂区内。本项目新建研发平台车间,新上管式反应器、反应釜等设备,中试装置主要验证目标为原料转化率>99.9%。
8500吨4-氯代丁酸甲酯及其89500吨相关中间体项目(二期)项目建设地点位于潍坊滨海经济技术开发区先进制造产业园香江西一街02131号。拟建项目依托一期厂房,采用酯化工艺(硼酸、异丙醇-酯化-脱醇-精馏-产品),依托一期项目硼酸三甲酯装置的部分设备生产硼酸三异丙酯,包括14台冷凝器、5套精馏塔等生产设备及辅助设施79台(套),建成后形成年产1500吨硼酸三异丙酯的生产能力。项目总投资100万元,项目废气、废水、固废、噪声、风险等全部依托厂区已建成环保设施。
根据此前公司公告,8500吨4-氯代丁酸甲酯及其89500吨相关中间体项目总投资3.6亿元,分两期建设,一期建成后形成年产6000吨硼氢化钠、40000吨液体硼氢化钠、40000吨硼酸三甲酯的生产能力;二期建成后形成年产8500吨γ-氯代丁酸甲酯、3000吨氯代丁酰氯及5000吨叔丁醇钠、1500吨硼酸三异丙酯的生产能力。
环丙氟虫胺——″国产″新型双酰胺类杀虫剂将在国内实现首登
环丙氟虫胺(cyproflanilide)是南通泰禾在双酰胺类杀虫剂的基础上创制的间二酰胺类杀虫剂,具有高效、低毒、杀虫谱广、渗透性好、起效快、持效期长的特点,可有效防治甜菜夜蛾、小菜蛾、斜纹夜蛾、二化螟等鳞翅目害虫;天牛、叶甲等鞘翅目害虫;以及蓟马等。市场推广对标已上市的同为间二酰胺结构的溴虫氟苯双酰胺,环丙氟虫胺于2019年获得中国专利授权,目前已在包括美国、日本、巴西、德国等国家申请专利,市场前景看好。
01 产品简介
英文名称:cyproflanilide
中文名称:环丙氟虫胺
其他名称:环丙氟虫二酰胺、百施佳®
化学名称:N-[2-溴-4-(1,1,1,2,3,3,3-七氟丙烷-2-基)-6-(三氟甲基)苯基]-3-[环丙基甲基-(4-氟苯甲酰基)氨基]-2-氟苯甲酰胺
分子式:C28H17BrF12N2O2
相对分子质量:721.332
CAS登录号:2375110-88-4
结构式:

三维结构式:

理化性质:原药为黄色固体;熔点:141.6-143.7;密度:1.6±0.1 g/cm3 ;沸点:516.9±50.0 °C at760mmHg;折射率:1.544;闪光点:266.4±30.1 °C
02 作用机理
环丙氟虫胺属于γ-氨基丁酸(GABA)门控氯离子通道变构调节剂,通过变构阻断激活的γ-氨基丁酸氯离子通道,使害虫过度兴奋和痉挛最终导致死亡。
环丙氟虫胺虽具有双酰胺结构,但确非为传统的鱼尼丁受体调节剂,其与溴虫氟苯双酰胺的IRAC分类归类为第30组,和目前最热的异恶唑啉类杀虫剂(异噁唑虫酰胺、氟噁唑酰胺、噁唑氟虫胺)为一组。
环丙氟虫胺具有优异的胃毒、触杀和内吸活性。
03 应用
应用作物:水稻、玉米、棉花、大豆、果树、蔬菜等作物。
靶标害虫:对于鳞翅目二化螟、稻纵卷叶螟、甜菜夜蛾、小菜蛾、草地贪夜蛾、苹果小卷叶蛾;鞘翅目跳甲、天牛;缨翅目蓟马等防效优异。
可开发剂型:10%环丙氟虫胺DC、20%环丙氟虫胺SC、5%环丙氟虫胺EC、30%环丙氟虫胺WP
04 合成路线
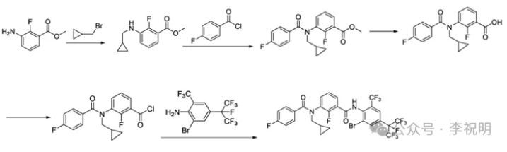
泰禾在专利CN109497062A、CN116178198A中,报道了化合物环丙氟虫胺的合成路线(路线一)。通过对溴虫氟苯双酰胺和环丙氟虫胺的结构对比,在合成中可参照溴虫氟苯双酰胺的合成路线。
路线一(泰禾路线):以2?氟?3?氨基苯甲酸甲酯(合成可参照中国专利CN111320548A,也是重要的医药中间体,价格昂贵)为起始原料,)将3?(N?(环丙基甲基)?4?氟苯甲酰氨基)?2?氟苯甲酰氯和溴代十氟苯胺进行缩合反应,得到环丙氟虫胺。该路线环丙氟虫胺纯度可达到98.5%以上,总收率可达到74%以上(以2?氟?3?氨基苯甲酸甲酯计)。合成路线如下:

另一条是将3?(N?(环丙基甲基)?4?氟苯甲酰氨基)?2?氟苯甲酰氯和十氟苯胺进行缩合反应,得到3?(N?(环丙基甲基)?4?氟苯甲酰胺基)?2?氟?N?(4?(全氟丙?2?基)?2?(三氟甲基) 苯基)苯甲酰胺,然后3?(N?(环丙基甲基)?4?氟苯甲酰胺基)?2?氟?N?(4?(全氟丙?2?基)?2?(三氟甲 基)苯基)苯甲酰胺进行溴化反应,得到环丙氟虫胺。环丙氟虫胺的纯度可达到99.2%以上,总收率可达到 75%以上(以2?氟?3?氨基苯甲酸甲酯计)。合成路线如下:

路线中,原料4?(全氟丙烷?2?基)?2?(三氟甲基)苯胺(即十氟苯胺)和2?溴?4? (全氟丙烷?2?基)?6?(三氟甲基)苯胺(即溴代十氟苯胺)可参照专利EP2319830A1中公开的方法制备得到。
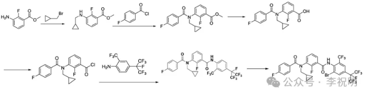
路线二:参照溴虫氟苯双酰胺的合成路线,以2-氟-3-硝基苯甲酸(可由邻氟硝基苯制得)为起始原料,与二氯亚砜发生亲核取代反应生成2-氟-3-硝基苯甲酰氯,然后与2-溴-4-(全氟丙-2-基)-2-(三氟甲基)苯胺(溴代十氟苯胺)反应,在环丙基甲醛和对氟苯甲酰氯(又名4-氟苯甲酰氯,也是合成杀菌剂氟马啉的中间体)的参与下,经5步生成目标产物环丙氟虫胺,合成路线如下:

路线三:在路线二的基础上,2-氟-3-硝基苯甲酰氯选择与4-(全氟丙烷-2-基 )-2-(三氟甲基 ) 苯胺(十氟苯胺)发生缩合反应,经溴化等3步反应生成目标化合物环丙氟虫胺。合成路线如下:

05 前景展望
环丙氟虫胺虽然也具有双酰胺结构,但与溴虫氟苯双酰胺一样,都不属于鱼尼丁受体调节剂,其化学结构新颖,作用机制独特,与目前传统的双酰胺类杀虫剂不存在交互抗性,是优秀的双酰胺抗性管理工具。与现有鳞翅目害虫药剂相比,环丙氟虫胺杀虫谱更广,活性更高,极低剂量下就表现出良好的活性,且杀虫速度快,渗透性好,持效期长,对环境和非靶标生物安全。根据溴虫氟苯双酰胺的推广经验看,其抗性也起得很快,在推广时也应注意复配和轮换用药。
从合成路线看,目前现有的合成路线在细节上仍有可优化和探讨的空间,成本有望进一步降低。综上所述,环丙氟虫胺符合成为终端大品的开发潜力。
来源:李祝明
游客可直接评论,建议先注册为会员后评论!
以上评论仅代表会员个人观点,不代表中国农药网观点!



