投资1.2亿!鑫隆泰年产3万吨草甘膦原药和制剂建设项目批复!更多农药产品新建、登记及市场动向......
编者按:如果企业是一棵大树,那么产品就是企业的根和生命之源,企业之间的竞争归根结底还是产品的竞争。因此,如何更好地捕获、掌握并进行深入分析研究各种有价值的产品信息,如何研发、生产、登记和推广应用好一个产品,这些对企业都至关重要。我们将在每周日汇总推出行业和企业热点和重点产品有关新建、登记、市场和应用的最新动态,以供企业决策和经营。
一 周 农 药
投资1.2亿!鑫隆泰年产3万吨草甘膦原药和制剂建设项目批复
近日,关于鑫隆泰年产3万吨草甘膦原药和制剂建设项目批复在相关网站公示。
项目由安徽省东至县整体搬迁至兰州新区,主要建设4#车间、6#车间、仓库、区、配套的辅助用房及部分公用工程辅助工程、部分公用工程、消防系统等均依托现有项目。拟建项目分为两期实施,一期完成整个项目的土建和外围公用部分,包括整个生产车间、控制室、水、电、气等,二期项目增加生产线数量、新建储罐区。
项目按照一次规划、分期建设的原则分两期建设,其中一期生产9000吨草甘膦原药及1000吨草甘膦水剂,二期生产18000吨草甘膦原药及2000吨草甘膦水剂,全年共生产27000吨草甘膦原药及3000吨草甘膦水剂。
总投资1.33亿元,拟建溴氰虫酰胺、砜吡草唑等6个原药项目
近日,内蒙古中高化工有限公司年产4,500吨高效原料药建设项目在相关网站备案。
建设规模及内容: 建设年产4,500吨高效原料药产品,项目分二期建设:一期为技改项目,建设年产 500吨/年丙硫菌唑、500吨/年肟菌酯、500吨/年氟唑菌酰胺、1,500吨/年溴氰虫酰胺原料药生产线,依托企业现有生产车间及生产线工艺装置,建设公辅配套设施等;二期建设年产500吨唑啉草酯、1,000吨砜吡草唑原药生产线工艺装置及建设公辅配套设施等。
投资1.07亿、年产1000吨苯草醚和1000吨环庚草醚扩产项目拟建
近日,淮安国瑞化工有限公司年产2000吨农药等产品扩产项目环境影响报告书在相关网站公示。
产品方案:项目按照一次规划、分期建设的原则分两期建设,其中一期生产9,000吨草甘膦原药及1,000吨草甘膦水剂,二期生产18,000吨草甘膦原药及2,000吨草甘膦水剂,全年共生产27,000吨草甘膦原药及3,000吨草甘膦水剂。
年产1500吨多效唑、1500吨三唑酮农药原药项目拟新建
近日,内蒙古海泰科技有限公司年产3000吨多效唑和三唑酮高效低毒农药项目在相关网站环评公示。随着市场需求与企业的发展,项目建设单位内蒙古海泰科技有限公司决定在内蒙古阿拉善腾格里经济技术开发区公司厂区内现有五车间建设该项目,项目主要产品为多效唑、三唑酮。
本项目运管后主要产品为多效唑、三唑酮。
多效唑,是一种植物生长调节剂,具有延缓植物生长、抑制茎秆伸长、缩短节间、促进植物分蘖、增加植物抗逆性能,提高产量等效果。多效唑适用于水稻、麦 类、花生、果树、烟草、油菜、大豆、花卉、草坪等作物,使用效果显著。
三唑酮是一种高效、广谱的唑类杀菌剂,具有预防、治疗和铲除作用,强内吸作用。对白粉病、锈病、黑穗病有特效,其杀菌作用为抑制麦角甾醇的生物合成。主要 用于防治麦类、果树、蔬菜、瓜类、花卉等作物的病害。
非萜烯类杀虫剂/昆虫生长调节剂———苯氧威/双氧威
苯氧威(fenoxycarb)是由Dr R. Maag Ltd(现为Syngenta公司)1985年开发上市的具有保幼激素活性的非萜烯类昆虫生长调节剂类杀虫剂。最早作为杀白蚁剂进入市场,尽管其在结构上具有氨基甲酸酯基团,但杀虫作用却为非神经性。苯氧威同时兼具二苯醚分子结构,使它有多种杀虫功能,且具胃毒和触杀作用,其作用机理独特,作用位点多,低毒高效,杀虫谱广,主要用于防治果树(包括柑橘)、橄榄、葡萄和观赏植物等作物上的鳞翅目害虫、甲壳虫和刺吸式口器害虫,仓储中的鳞翅目和鞘翅目害虫,公共卫生的蟑螂、跳蚤、蚊幼虫等。苯氧威也被先正达列为二十一世纪的十几个保留品种之一。
01 产品简介
英文名称:fenoxycarb
中文通用:苯氧威
其他名称:双氧威、苯醚威、芬諾克、 Eclipse、Insegar、Logic、Phenoxycarb
化学名称:N-[2-(4-苯氧基苯氧基)乙基]氨基甲酸乙酯
分子式:C17H19NO4
相对分子质量:301.337
CAS登录号:72490-01-8
结构式:

理化性质:纯品为无色结晶体,熔点53--54℃,闪点224℃,蒸气压0.0078Mpa(20℃),溶解性(25℃时):水5.7mg/Kg,丙酮、氯仿、乙醚乙酸乙酯、甲醇、异丙醇、甲苯等中大于250g/Kg。在室温下、于密闭容器中稳定两年以上。在pH3、7、9,50℃下水解稳定,对光稳定。
02 作用机理
苯氧威属于仿生保幼激素,一种昆虫生长调节剂。作用机理表现为对多种害虫有强烈的保幼活性和破坏昆虫赖以正常发育的体内平衡,可导致杀卵、抑制成虫期的变态和幼虫期的蜕皮,造成幼虫后期或蛹期死亡,具有对害虫的发育和变态的全过程均能产生致命的中断作用。
苯氧威的滥用使得害虫普遍对该类药剂产生很强的抗药性,防效已大不如前。
03 应用
杀虫谱:
苯氧威主要杀虫范围包括:对双翅目(包括蚊、虻、蝇类,以及在农业上常见的韭蛆、潜叶蝇)、鞘翅目(如各种危害粮食的甲虫)、同翅目(如叶蝉、稻褐飞虱、蚜虫、粉蚧)、鳞翅目(如小菜蛾、苹果金纹细蛾、旋纹潜叶蛾及各种小食心虫、亚洲玉米螟)、异亚翅目、缨翅目(如蓟马)、脉翅目(如大草蛉)、啮虫目的五十多种害虫及一些蜱螨、线虫有效。
应用:
1. 储粮害虫防治???
苯氧威对几乎所有主要粮食害虫(米象、玉米象、赤拟谷盗、谷蠹、印度谷螟、米蛾、谷象、杂拟、长角扁谷盗、货栈皮蠹、干果斑螟、麦蛾)都有很好的防治效果,除粗脚粉螨外,活性高,持效期长,且防治效果远远好于马拉硫磷和苏云金杆菌。
2. 森林害虫防治????
在森林害虫的防治上,苯氧威对松毛虫、以及杨树多种食叶害虫显示很大防效,比生物农药速效,而且杀虫谱很广, 无抗药性。
3. 果树虫害防治
用苯氧威和高效氯氰菊酯或者噻嗪酮等复配在果树上防治蒂蛀虫、荔枝蝽象、梨木虱、苹果黄蚜、柑橘蚧壳虫等。
4. 在无公害蔬菜的应用
苯氧威具有低毒、高效和对环境无污染的特点,完全可以达到绿色食品蔬菜A级要求,可广泛应用于无公害蔬菜和绿色食品蔬菜(A级)。可防治菜青虫、菜蚜、潜叶蝇等多种害虫。以及冲施韭蛆、蒜蛆等。
5. 在卫生害虫的应用
苯氧威作为保幼激素,对防治蚂蚁、火蚁、白蚁以及蟑螂、蚊虫、跳蚤等都有很好的效果,且持效期长,对环境影响小。
常见剂型:3 %苯氧威EC;5 %苯氧威DP;50%、25 %苯氧威WP;250 g/L、12.5%苯氧威EC;3 %、10%苯氧威AS;5%苯氧威GR;0.25%苯氧威AE等
04 登记情况
苯氧威在国内的有效登记证件

05 合成路线
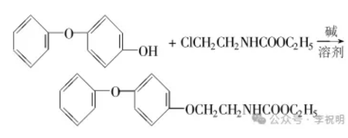
苯氧威的化学结构并不是十分复杂,其合成所涉及到的合成反应大多为常规反应,目前报道的合成路线主要有5条,分别为①4-苯氧基苯酚与2-氯乙基氨基甲酸乙酯反应;② 2-(4-苯氧基苯氧基)乙胺与氯甲酸乙酯反应;③2-(4-苯氧基苯氧基)乙基异氰酸酯与无水乙醇反应;④ 2-(4-氯苯氧基)乙基氨基甲酸乙酯与苯酚反应;⑤3-(对取代苯氧基)丙酰氨与乙醇反应。目前实际合成中较为实用的为方法①和方法②。
路线一:用对苯氧基苯酚与2-氯乙基氨基甲酸乙酯在碱性催化剂和溶剂存在下合成苯氧威,反应收率可达80%,合成路线如下:

路线二:通过2-(对苯氧基苯氧基)乙胺与氯甲酸乙酯反应合成苯醚威,反应收率可达81.5%。合成路线如下:

06 复配推介
苯氧威+烯啶虫胺/环氧虫啶:两者复配可应用于水稻防治褐飞虱、白背飞虱、灰飞虱、稻纵卷叶螟等,具有明显的增效作用,具有杀虫广谱、高效低毒、防治成本低等优点。
苯氧威+甲维盐/虫螨腈:苯氧威能够促进虫螨腈和甲维盐作用于靶标部位,对靶标害虫甜菜夜蛾、斜纹夜蛾、小菜蛾、草地贪夜蛾、浅夜蛾的防治具有增效作用。
苯氧威+螺虫乙酯:可有效防治蔬菜和果树上的蚜虫、蓟马、木虱、粉蚧、粉虱和蚧壳虫等,尤其对柑橘果树上的蚧壳虫防治具有优异效果。
苯氧威+唑虫酰胺:两者复配,扩大了杀虫谱,可用于防治小绿叶蝉、蓟马、小菜蛾、跳甲、甜菜夜蛾、田夜蛾、二化螟、三化螟、斜纹夜蛾、豆荚螟、蚧壳虫、蚜虫、斑潜蝇等。
苯氧威+噻嗪酮/吡嗪酮:能够起到延长防效,并且可以有效的提高实际的杀虫效果,能提高对蚧壳虫的防治效果。
07 总结
苯氧威是目前为止杀虫谱最广的保幼激素类杀虫剂,并且具有毒性低、活性高、施药量小(一般1~3g/667m2),低残留,在土壤和水中易降解、不污染环境,对天敌安全、不破坏生态平衡等优势。虽然开发较早,并且滥用导致某些应用方面效果不佳,但随着新工艺及技术的不断迭代,新的复配制剂在不断被开发,苯氧威在防治部分抗性鳞翅目幼虫、蚧类害虫等方面又受到了各方面的关注,并且随着高毒农药的禁用,苯氧威在林业害虫的防治、卫生害虫的防治、以及储粮害虫的防治方面都有着相当大的开发潜力。
游客可直接评论,建议先注册为会员后评论!
以上评论仅代表会员个人观点,不代表中国农药网观点!



