竞争优势不明显,高效氟氯氰菊酯的市场分析
高效氟氯氰菊酯(beta-cyfluthrin),商品名为“保得”,为德国拜耳公司合成的除虫菊酯杀虫剂。具有触杀和胃毒作用,杀虫谱广,击倒迅速,持效期长的特点.....
高效氟氯氰菊酯是氟氯氰菊酯差向异构化的产物,产品除具有普通氟氯氰菊酯的杀虫谱和特点外,其最大的优势是杀虫活性更高,杀虫活性为普通氟氯氰菊酯的2倍,推荐使用量仅为0.4g一1.3g 有效成分亩。
通用名称:高效氟氯氰菊酯(beta-cyfluthrin)
其它名称:保得
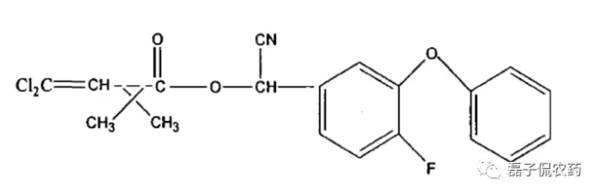
化学名称:氰基-(4-氟-3-苯氧苄基)-甲基-(2,2-二氯乙烯基)-2,2-二甲基环丙烷羧酸酯
结构式:

作用机理
高效氟氯氰菊酯为神经轴突毒剂,与其他除虫菊酯类杀虫剂作用效果类似,对周围神经系统、中枢神经系统及其它器官组织主要是肌肉,同时起作用。由于药剂通常是通过表皮接触进入,因此,先要到影响的是感觉器官及感觉神经元。对周围神经系统的主要影响是轴突传导的改变与阻断。
通过与钠离子通道作用可引起昆虫极度兴奋、痉挛、麻痹,最终可导致神经传导完全阻断,也可以引起神经系统以外的其他组织产生病变而死亡。药剂以触杀和胃毒作用为主,无内吸及熏蒸作用。杀虫谱广,作用迅速,持效期长。具有一定的杀卵活性,并对某些成虫有拒避作用。

靶标害虫
氟氯氰菊酯适用于棉花、小麦、玉米、蔬菜、苹果、柑 橘、葡萄、油菜、大豆、烟草、甘薯、马铃薯、草莓、啤酒花、咖啡、茶、苜蓿、橄榄、观赏植物等。防治棉铃虫、红铃虫、
棉蚜、菜青虫、桃小食心虫、金纹细蛾、小麦蚜虫、黏虫、玉米螟、葡萄果蠹蛾、马铃薯甲虫、蚜虫、尺蠖、烟青虫等。
毒性
氟氯氰菊酯对哺乳动物毒性较低,大白鼠急性经口LD50雄性为550-750mg/kg,雌性为1200mg/kg,小白鼠雄性为300,雌性为600。大鼠90天饲喂试验无作用剂量125mg/kg饲料。对鱼毒性大,对蜜蜂也有毒。
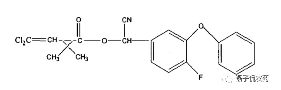
高效氯氟氰菊酯(功夫)高效氟氯氰菊酯(保得)傻傻分不清楚

(高效氯氟氰菊酯结构式)

(高效氟氯氰菊酯结构式)
高效氯氟氰菊酯(功夫菊酯)杀虫活性更高,但相对应的功夫菊酯对皮肤的刺激更强, 以及对水生生物的毒性也更大。
高效氯氟氰菊酯主要用于谷物、大豆、蔬菜、棉花等,防治蚜虫、科罗拉多甲虫、蓟马、鳞翅目幼虫、鞘翅目幼虫和成虫、公共卫生害虫等。作用特点:杀虫谱广,活性较高,药效迅速,喷洒后耐雨水冲刷,但长期使用易对其产 生抗性,对刺吸式口器的害虫及害螨有一定防效,但对螨的使用剂量要比常规用量增加1-2倍。
高效氟氯氰菊酯(保得)杀虫活性相对较弱一些,但同时其对皮肤刺激性较弱。 在土壤中得持效期更长一些。
具有触杀和胃毒作用,持效期长。适用于棉花、果树、蔬菜、茶树、烟草、大豆等植物的杀虫。能有效地防治禾谷类作物、棉花、果树和蔬菜上的鞘翅目、半翅目、同翅目和鳞翅目害虫,如棉铃虫、棉红铃虫、烟芽夜蛾、棉铃象甲、苜蓿叶象甲、莱粉蝶、尺蠖、苹果蠢蛾、菜青虫、小苹蛾、美洲粘虫、马铃薯甲虫、蚜虫、玉米螟、地老虎等害。
高效氟氯氰菊酯国内登记
高效氟氯氰菊酯在国内共有5个原药登记, 国内最主要的生产企业是广东立威和扬农。

制剂单剂登记全国共36个,其中农药登记19个, 主要登记的剂型为25g/L乳油, 但随着乳油减少使用, 国内目前主流为 2.5% 水乳剂, 5% 水乳剂,5% 微乳剂。
另外单剂登记中,其中有17个卫生用药登记, 主要剂型为 2.5% 悬浮剂和 2.5% 微囊悬浮剂,用于蚊、蝇、蜚蠊的防治,滞留喷洒。

全国共有15个复配登记, 其中与吡虫啉复配常用于防治卫生害虫蚊蝇类,使用方式是滞留喷洒。

合成工艺
以对氟苯甲醛为起始原料,经五步反应制得氟氯氰菊酯。


总结
氟氯氰菊酯是拜耳公司研发的产品,1980 年上市。近年来,氟氯氰菊酯均以高效氟氯氰菊酯(beta-cyfluthrin)产品销售,商品名为 Bulldock。该产品在多种作物上均有登记,并且还用于公共卫生及动物卫生健康。21 世纪初,氟氯氰菊酯的销售额稍有下滑,主要原因除了菊酯类杀虫剂的共性, 对施药者不友好, 高蜂毒和水生生物毒性外, 其在与同类型杀虫剂功夫菊酯的市场高度重叠且不具有竞争优势。
但是2004年后该产品的销售额又有进一步的增长。2004 年拜耳公司将氟氯氰菊酯在非农用途中登记,在美国用于防治白蚁,商品名为 Tempo Ultra;Gustafson 公司登记用于粮食储藏,商品名为 Storcide。其在卫生杀虫剂的使用是其近年增长的动力。2012 年拜耳公司开发了高效氟氯氰菊酯和吡虫啉的混剂,在阿根廷用于大豆,商品名为 Solomon,对大豆蚜虫等具有良好的防治效果, 同时其与吡虫啉的复配也广泛应用与蚊蝇幼虫的滞留喷洒并取得了良好的效果。
游客可直接评论,建议先注册为会员后评论!
以上评论仅代表会员个人观点,不代表中国农药网观点!



