首个商品化介离子嘧啶酮类杀虫剂——三氟苯嘧啶,开发潜力巨大
三氟苯嘧啶(triflumezopyrim)是美国杜邦公司(现科迪华)于2011年开发的介离子嘧啶酮类杀虫剂。
主要用于水稻、玉米、马铃薯、棉花和大豆等作物及其温室苗圃等,用来防治鳞翅目和同翅目害虫,如:玉米蜡蝉、马铃薯叶蝉、水稻褐飞虱和二点黑尾叶蝉、桃蚜、蟑螂等,三氟苯嘧啶现已在亚太地区广泛登记和上市,已成为稻飞虱防治的新标杆。2016年7月,美国杜邦公司的三氟苯嘧啶在我国获得首登,其在中国的专利期将于2030年8月3日届满。值得注意的是其是第一个商品化的介离子嘧啶酮类杀虫剂,其在抗性管理和复配领域可开发潜力巨大。
产品简介
英文名称:triflumezopyrim
中文名称:三氟苯嘧啶
商品名:Pyraxalt?、佰靓珑®
化学名称:2,4-二氧亚基-1-(5-嘧啶基甲基)-3- [3-(三氟甲基)苯基] -3,4-二氢-2H-吡啶并[1,2-a]嘧啶-1-正离子-3-碳负离子
分子式:C20H13F3N4O2
相对分子质量:398.338
CAS登录号:1263133-33-0
结构式:

三维结构式:

理化性质:三氟苯嘧啶为黄色无味固体,205~210℃开始分解;水和有机溶剂中的溶解度(g/L):水0.23±0.01(20℃),N,N-二甲基甲酰胺377.62,乙腈65.87,甲醇7.65,丙酮71.85,乙酸乙酯14.65,二氯甲烷76.07,邻二甲苯0.702,正辛醇1.059,正己烷0.0005。[1]三氟苯嘧啶的稳定性:pH值为4、7和9时对水解稳定(50℃);自然水中光解(25℃)DT50值为2.8d,缓冲液中光解DT50值为2.1d;对金属和金属离子稳定(54℃,14d);不易燃、不自燃,对热、摩擦和挤压等不敏感。
作用机理
三氟苯嘧啶属于烟碱型乙酰胆碱受体(nAChR)竞争性调节剂,作用于昆虫神经系统。与其受体上的乙酰胆碱位点结合,引起昆虫从过度兴奋到嗜睡和瘫痪的一系列症状。乙酰胆碱是昆虫中枢神经系统中的主要兴奋性神经递质。
三氟苯嘧啶能够有效防治对新烟碱类杀虫剂产生抗性的稻飞虱等害虫,国际杀虫剂抗性行动委员会将其归属于第4E亚组。
应用及杀虫谱
应用:水稻、玉米、马铃薯、棉花和大豆等大田作物及蔬菜、园林等。
杀虫谱:鳞翅目和同翅目害虫,如:玉米蜡蝉、马铃薯叶蝉、水稻褐飞虱、白背飞虱和二点黑尾叶蝉、桃蚜、蟑螂等。
常见制剂:10 % 三氟苯嘧啶SC、 20%三氟苯嘧啶WG。
产品特点
(1)高效防治各种抗性稻飞虱:与市场上常见药剂,如吡虫啉、烯啶虫胺、吡蚜酮等无交互抗性,有效防治各种抗性稻飞虱。可有效防除条纹叶枯病、黑条矮缩病在内的多种病毒病。
(2)击倒速度快:具有触杀和胃毒作用,试验中发现,药后24小时死虫率85%,48小时死虫率95%以上。
(3)持效期长:具有渗透、传导活性,耐雨水冲刷,持效期显著长于同类产品,大大减少了用药量和用药次数。
(4)复配性好:不仅包括四唑虫酰胺、氯虫苯甲酰胺、溴氰虫酰胺、甲氨基阿维菌素苯甲酸盐、溴虫氟苯双酰胺、甲氧虫酰肼、醚菊酯、虫螨腈、阿维菌素等杀虫剂,还可与杀菌剂异噻菌胺、氟唑菌苯胺、三环唑等复配。
(5)使用方式多样:既可用于叶面喷雾、拌种、送嫁药,也可用于土壤处理。
(6)对环境友好:在自然环境中易降解不累积;对人安全,对鸟类、鱼类、水生无脊椎动物、蚯蚓低毒,对稻飞虱天敌起保护作用。
登记情况
国内登记情况:
经中国农药信息网查询,目前国内有效登记数量为6条,包括科迪华登记94%三氟苯嘧啶原药、10%三氟苯嘧啶悬浮剂和20%三氟苯嘧啶水分散粒剂。2017年8月21日,陕西标正作物科学有限公司的23%溴酰·三氟苯悬浮剂、东莞市瑞德丰生物科技有限公司的11%阿维·三氟苯悬浮剂和深圳诺普信农化股份有限公司的19%氯虫·三氟苯悬浮剂。登记作物都是水稻。

国外登记情况:
2016年,三氟苯嘧啶原药在印度获准登记,专供出口。2018年8月,10%三氟苯嘧啶悬浮剂在印度上市,用于水稻害虫防治,特别是抗性褐飞虱,商品名Pexalon。
2017年8月,三元复配剂(0.4%三氟苯嘧啶+6%噻酰菌胺+0.4%氯虫苯甲酰胺)在韩国取得登记;三氟苯嘧啶+氯虫苯甲酰胺复配剂(6.3%+5.4%)于2018年9月取得登记。两者均用于水稻。
2017年,杜邦公司在美国获得了三氟苯嘧啶的进口许可,商品名为Pyraxalt®(10%三氟苯嘧啶SC)。但目前未见美国登记信息公布。
106 g/L三氟苯嘧啶SC在印度尼西亚登记,商品名PEXALON 106 SC,用于防治水稻褐飞虱,登记有效期至2022年10月6日。
2018财年,组合化学在日本登记了杀虫杀菌产品Full-throttle Box GR(溴氰虫酰胺+三氟苯嘧啶+异噻菌胺+氟唑菌苯胺);2019财年,组合化学Encore Box GR(氯虫苯甲酰胺+三氟苯嘧啶+三环唑)获得日本登记。
2018年,106 g/L三氟苯嘧啶悬浮剂在越南登记,商品名为Pexena®,用于防治水稻褐飞虱、白背飞虱和灰飞虱。
2023年6月,Dhanuka Agritech在印度推出新型杀虫剂DEFEND®(三氟苯嘧啶)
此外,三氟苯嘧啶还在菲律宾、马来西亚、泰国等亚洲国家登记,但尚未获得欧盟、澳大利亚、新西兰等国家和地区登记。
复配推荐
三氟苯嘧啶+新烟碱类杀虫剂:噻虫嗪、吡虫啉、烯啶虫胺、噻嗪酮、噻虫啉、噻虫胺、啶虫脒、呋虫胺、环氧虫啉,复配后,对蚜虫、叶蝉、粉虱、飞虱具有明显的增效和持效作用,共毒系数均大于120。
三氟苯嘧啶+氨基甲酸酯类杀虫剂:异丙威、速灭威、茚虫威、甲萘威、仲丁威、丁硫克百威、硫双威,组合后对稻飞虱、蚜虫、棉铃虫、红铃虫、粉虱、 菜青虫、烟青虫、小菜蛾、甜菜夜蛾、斜纹夜蛾、金纹细蛾、黑尾叶蝉、稻纵卷叶螟、二化螟、三化螟等防效优异。
三氟苯嘧啶+双酰胺类杀虫剂:氯虫苯甲酰胺、氟虫双酰胺、溴氰虫酰胺、环溴虫酰胺、溴虫氟苯双酰胺,复配后甜菜夜蛾、食心虫、稻纵卷叶螟、二化螟、三化螟、盲蝽、蚜虫、 粉虱、飞虱、蚧壳虫、斑潜蝇、跳甲等均有较高活性。
三氟苯嘧啶+氟吡呋喃酮:二元复配使用具有显著的协同增效作用,较之单剂单独使用明显提高了对害虫的防治效果,同时扩大了杀虫谱,解决了单剂单独使用时对某些害虫防治效果差的缺陷。
三氟苯嘧啶+吡啶喹唑啉:组合后主要应用于防治农作物同翅目害虫、半翅目害虫以及缨翅目害虫等农业害虫。较之单剂单独使用明显提高了对害虫的防治效果,同时扩大了杀虫谱,解决了单剂单独使用时对某些害虫防治效果差的缺陷。
三氟苯嘧啶+沙蚕毒素类杀虫剂:杀虫双、杀虫单、杀虫环、杀虫磺,该组合对稻飞虱、稻纵卷叶螟、二化螟、三化螟、粉虱、潜叶蛾、棉铃虫、蚜虫等均有较高活性。
三氟苯嘧啶+金龟子绿僵菌:该组合具有对稻飞虱的协同增效作用,且环境友好。
双丙环虫酯+三氟苯嘧啶:具有明显的增效作物,可降低农药的使用率,农药残留低且易分解,更加环保,是一种环境友好型高效农药。
三氟苯嘧啶+嘧菌酯:做种子处理剂种子处理剂能够防治水稻苗期灰飞虱、苗期稻瘟病、大田移栽后的稻蓟马和稻飞虱等,持效期长达90天以上。
专利情况
2010年,杜邦公司申请了关于三氟苯嘧啶的化合物专利,包括PCT专利、欧洲专利、美国专利、中国专利等,这些专利均将于2030年期满。
PCT专利:WO2011017351,申请于2010年8月3日,2030年8月2日专利到期;发明名称:Mixtures of Mesoionic Pesticides。
欧洲专利:EP2461685,申请于2010年8月3日,2030年8月2日专利到期;发明名称:Mixtures of Mesoionic Pesticides。
美国专利:US2012115722,申请于2010年8月3日,2010年8月3日专利到期;发明名称:Mixtures of Mesoionic Pesticides。
中国专利:CN102665415A,申请于2010年8月3日,2030年8月2日专利到期;发明名称:介离子杀虫剂混合物。
专利情况
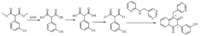
根据文献查询:三氟苯嘧啶的合成路线主要有3条。
路线一:偶联法合成
N-(5-嘧啶基)甲基-2-吡啶胺以2-氨基吡啶为起始原料,经与5-醛基嘧啶缩合,硼氢化钠还原制得,步骤繁琐。间三氟甲基碘苯与丙二酸二甲酯经偶联制得2-[3-(三氟甲基)苯基]丙二酸二甲酯,再经水解制得目标中间体2-[3-(三氟甲基)苯基]丙二酸。该中间体再通过大离去基团三氯苯酚的引入和脱去制备三氟苯嘧啶。

路线二:偶联法合成改进
N-(5-嘧啶基)甲基-2-吡啶胺和2-[3-(三氟甲基)苯基]丙二酸二甲酯的制备与路线1中方法相同。区别在于2-[3-(三氟甲基)苯基]丙二酸二甲酯经由取代的丙二酸二钾盐制得水解产物2-[3-(三氟甲基)苯基]丙二酸)。

路线三:间三氟甲基苯乙酸催化转化
以三乙基硅烷为还原剂、三氟乙酸为质子酸、2-氨基吡啶和5-醛基嘧啶在乙腈中回流得到中间体1。该方法操作简便,反应效率高。同时,2-3-(三氟甲基)苯基1丙二酸二甲酯的制备以价格相对低廉的间三氟甲基苯乙酸为原料,2-[3-(三氟甲基)苯基]丙二酸二甲酯经水解直接制备得到2-[3-(三氟甲基)苯基]丙二酸二甲酸,避免了离去基团的引入以及2-[3-(三氟甲基)苯基]丙二酸二甲酸的制备过程。最后以简单易得的草酰氯为氯化试剂、N,N-二甲基甲酰胺为催化剂,在二氯甲烷中室温搅拌过夜即可得到最终的目标产物。实验避免了偶联反应所需要的无水无氧环境,条件温和,原料易得。

前景展望
三氟苯嘧啶还处于专利保护初期,其深度开发和研究应用还有待进行,随着三氟苯嘧啶在更多国家和地区登记,更多复配产品及单剂产品的推广应用,其市场规模也将持续扩大,作为第一个被商品化的介离子嘧啶酮类杀虫剂,其具有广谱、高效、持效的特点,对鳞翅目、同翅目等多种害虫均具有很好的防效,在防治稻飞虱和抗性管理方面有着广泛的开发前景。
游客可直接评论,建议先注册为会员后评论!
以上评论仅代表会员个人观点,不代表中国农药网观点!



