农用 + 卫生双领域覆盖:吡丙醚农药登记现状及分析
吡丙醚(Pyriproxyfen)是日本住友化学公司开发的烷氧吡啶保幼激素类几丁质合成抑制剂,归属于昆虫生长调节剂(IGR)类杀虫剂。它依托 “干扰昆虫蜕皮与繁殖” 的独特作用机制,在抗性害虫防控、农药减量增效及公共卫生防疫领域占据不可替代的核心地位;其应用场景已从早期的公共卫生害虫防控,逐步拓展至同翅目、缨翅目、双翅目、鳞翅目等农业害虫防治,兼具高效低耗、持效期长、作物安全性高、对人畜低毒等显著优势。吡丙醚的登记状况不仅直观反映了绿色农药的行业发展趋势,更深刻折射出农业生产与公共卫生领域的需求升级方向。
基于中国农药信息网最新登记数据,本文系统梳理吡丙醚原药与制剂的登记格局及核心特征,深入剖析其背后的深层矛盾,进而展望未来发展路径,为行业技术创新与登记选品布局提供理论参考。
一、我国吡丙醚农药登记整体状况
吡丙醚农药登记已形成 “原药稳基、制剂多元” 的整体格局。近年来,其登记作物范围与防治对象持续拓展,已覆盖番茄白粉虱、蔷薇科观赏花卉介壳虫、柑橘木虱、甘蓝小菜蛾、茶小绿叶蝉、大葱蓟马等多种作物常见害虫。尤其与其他不同作用机制的农药复配后,该类药剂更成为蔬菜、果树害虫防控的核心工具之一。
——登记数量。截至目前,我国处于登记有效期内的吡丙醚农药产品已达140个。其中,原药为19个,单剂为55个,混剂为66个。
——产品毒性。如图1所示,登记产品共涉及3种毒性,没有高毒、剧毒。微毒、低毒、中等毒分别为34个、101个、5个,占比依次为4%、72%、24%。

——产品剂型。如图2所示,登记制剂产品共包括13种( 类) 剂型,分别是展膜油剂、悬乳剂、可湿性粉剂、乳粉剂、水分散粒剂、粉剂、可分散油悬浮剂、微乳剂、可溶液剂、乳油、颗粒剂、水乳剂和悬浮剂。其中,悬浮剂登记数量最多,为41个;可溶液剂、乳油、颗粒剂、水乳剂分别为14个、15个、16、17个,其余均低于10个。悬浮剂(SC)、水乳剂(EW)等环保友好剂型逐渐替代乳油(EC)等传统剂型,既提升了施用便利性,也降低了环境风险。

——登记企业。由图3可知,吡丙醚农药登记产品数量在 2 个及以上的企业有24家,其余登记产品数量均为1个。其中,上海生农生化制品股份有限公司登记产品数量最多,为9个;陕西美邦药业集团股份有限公司登记产品数量为6个。

——登记作物。我国吡丙醚农药登记作物/场所由最初的卫生或室外逐步拓展应用到柑橘树、番茄、双孢菇、姜、菜豆、甘蓝、茶树、芥蓝、荔枝树、枣树、黄瓜、大葱和蔷薇科观赏花卉等农作物与园艺。
——防治对象。我国吡丙醚农药登记的防治对象最初主要用于蝇(幼虫)、蚊(幼虫)、孑孓、蜚蠊等卫生害虫防控,成为家庭、公共环境防疫的重要产品;现进一步应用于农业领域,防治介壳虫、木虱、白粉虱、烟粉虱、菌蛆、姜蛆、小菜蛾、甜菜夜蛾、茶小绿叶蝉、蒂蛀虫与蓟马等害虫及螨类。

二、我国吡丙醚农药原药与制剂登记分析
吡丙醚农药登记整体格局呈现了原药稳基,制剂多元。其原药登记是本土主导,供应充足;制剂登记则规模扩容,结构得以优化。
——原药登记状况。吡丙醚原药登记已形成 “本土企业为核心、国际企业作补充” 的稳定格局。由表1可知,我国吡丙醚原药登记数量共为19个;其中,PD原药为2个,WP原药为17个;原药含量集中在 95%、97%和98%。我国有效登记的吡丙醚原药企业共 17 家,其中本土企业 15 家,国际企业仅日本住友化学株式会社、印度塔格罗斯化学有限公司 2 家;南通施壮化工有限公司、辽宁众辉生物科技有限公司同时拥有PD和WP吡丙醚原药。

——制剂登记状况。吡丙醚制剂登记呈现 “数量快速增长、剂型绿色化、场景多元化” 的特征。截至目前,有效登记制剂产品达121个,涵盖农用杀虫剂、卫生杀虫剂等农药类别。
(1)单剂登记状况
由表2得知,吡丙醚单剂共登记了55个。其中,WP单剂占比最多,高达87.27%;登记含量有0.5%、5%、10%、100克/升等。PD单剂有3个,登记含量有1%、100克/升。EP单剂有4个,登记含量有35%、200克/升、350克/升,仅限出口国家主要是巴西、美国、巴拉圭。

(2)混剂登记状况
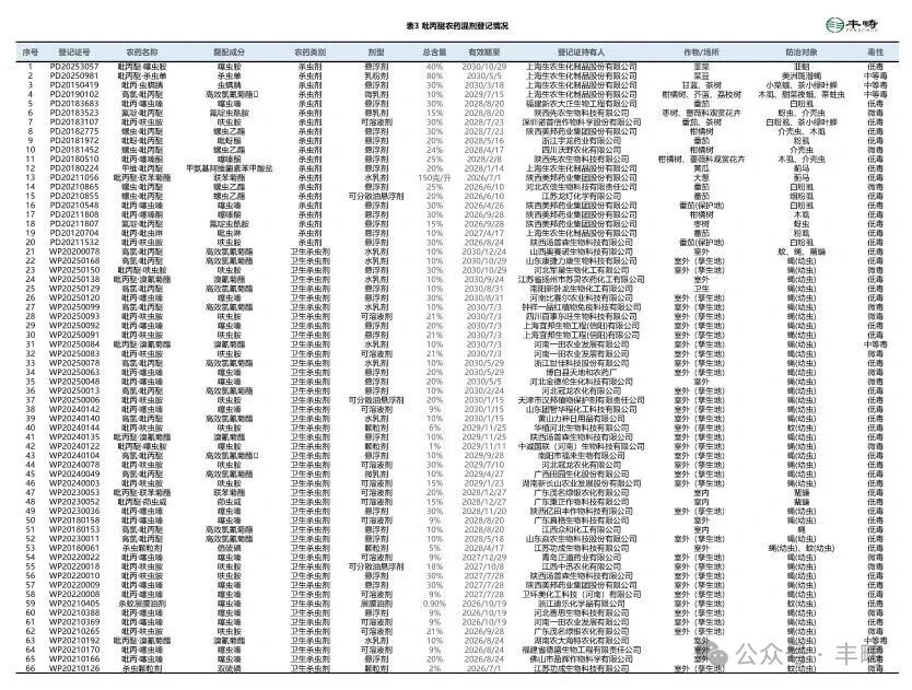
吡丙醚混剂共登记了66个,PD混剂为20个,WP混剂为46个,均是二元复配登记,未出现三元复配登记。由表3得知,复配成分主要有噻虫胺、呋虫胺、虫螨腈、杀虫单、噻虫嗪、茚虫威、溴氰菊酯、高效氯氰菊酯、氟啶虫酰胺、吡蚜酮、螺虫乙酯、噻嗪酮、甲氨基阿维菌素苯甲酸盐、联苯菊酯、吡虫啉、倍硫磷和双硫磷等。PD吡丙醚混剂的复配成分主要以螺虫乙酯居多,为4个,其次是呋虫胺、噻虫嗪、噻嗪酮和氟啶虫酰胺等。WP吡丙醚混剂的复配成分是噻虫嗪最多,为15个,高效氯氰菊酯与呋虫胺均为11个,溴氰菊酯为4个。

三、我国吡丙醚农药登记核心特征与问题挑战
我国吡丙醚农药登记核心特征是需求导向与技术协同。一是复配制剂成主流,机制互补提效。吡丙醚制剂登记以复配为主,单剂为辅,复配逻辑紧扣 “速效 + 持效”“广谱 + 精准” 的需求。这种复配策略精准破解了单一药剂的防控局限,尤其在对传统农药产生抗性的粉虱、蓟马种群中,展现出卓越防效,成为害虫综合防治(IPM)体系的核心工具。二是场景聚焦精准,贴合细分需求。制剂登记呈现鲜明的场景化定制特征,农业领域针对蔬菜大棚粉虱、蓟马高发问题,还有果树介壳虫、木虱等;卫生领域也适配不同防疫需求。三是本土企业创新活跃。制剂登记以本土企业为绝对主力,如上海生农生化制品股份有限公司、陕西美邦药业集团股份有限公司等企业登记产品数量居多,凭借 “原药 - 制剂” 一体化优势,占据主流市场。
我国吡丙醚登记背后也存在了一些深层问题与挑战。一是产品同质化严重,创新层次偏低。尽管制剂数量众多,但核心复配组合相对集中,吡丙醚 + 噻虫嗪、吡丙醚 + 高效氯氰菊酯两大组合登记占比多。多数中小企业缺乏核心技术,仅在含量配比、剂型上做微小调整,高端创新如智能缓释剂型产品极少,难以满足农业绿色转型的多元化需求。二是抗性风险监测与防控不足。部分复配制剂存在 “机制相近复配” 问题,长期使用易引发交互抗性,可能导致田间抗性快速发展。三是应用场景挖掘不深,农用领域潜力未释放。吡丙醚在农用领域的登记产品占比相较卫生领域少,同时,针对设施农业、有机农业等细分场景的定制化产品也较少,难以匹配精准防控需求。
四、结论与展望
吡丙醚原药与制剂的登记发展,是我国农药行业从 “数量增长” 向 “质量提升” 转型的缩影。当前登记格局已基本满足农业生产与公共卫生防控需求,但在创新能力、抗性管理、国际竞争力等方面仍有较大提升空间。未来,需以技术创新为核心,以政策优化为保障,以产业链协同为支撑,推动吡丙醚登记向更高质量、更可持续的方向发展,为我国粮食安全、农业生态安全与公共卫生安全提供坚实支撑。如在创新驱动方面,推动产品向高端化、多功能化升级。未来制剂登记将聚焦 “精准化、绿色化、多功能化”,精准化是针对抗性害虫机制,开发与现有药剂无交互抗性的复配制剂;绿色化是开发纳米剂型、缓释剂型,降低农药用量;多功能化要探索复合功能产品,满足一体化防控需求。同时,鼓励企业开展自主创制,推动行业从 “仿制” 向 “创制” 转型。在政策优化方面,完善抗性管理与场景适配体系。建立吡丙醚制剂抗性风险分级登记制度,对高风险产品强制要求提供抗性管理方案。优化登记评审标准,将作用机制互补性、场景适配性纳入核心评审指标,引导企业精准创新。加强登记后监测,建立 “登记 - 监测 - 更新” 动态机制,根据田间抗性变化调整登记政策。在产业链协同方面,强化质量管控与技术集成。加强原药登记质量审核,推动原药生产企业统一质量标准,提升杂质控制水平。鼓励产业链协同创新,原药企业与制剂企业合作开发定制化原药,保障制剂稳定性。同时,将登记产品与施药技术、抗性管理方案一体化集成,通过农技推广提升产品实际应用效果。
游客可直接评论,建议先注册为会员后评论!
以上评论仅代表会员个人观点,不代表中国农药网观点!



