近期农药企业新获发明专利一览
近日,润丰股份、颖泰生物、海利尔药业、利尔化学等企业均新获发明专利,具体内容如下:
1.润丰股份取得含噁唑酰草胺和双草醚的OD制剂及其制备方法专利
近日,山东潍坊润丰化工股份有限公司取得一项名为“一种含噁唑酰草胺和双草醚的可分散油悬浮剂及其制备方法”,授权公告号:CN114586776B,申请日期为2022年3月。
专利摘要显示,本发明提供了一种含噁唑酰草胺和双草醚的可分散油悬浮剂,包括活性成分、乳化剂、流变剂、溶剂和分散介质;所述活性成分包括噁唑酰草胺和双草醚。本发明将噁唑酰草胺、双草醚复配制成可分散油悬浮剂,并通过对配方的精细筛选,克服了传统可分散油悬浮剂稳定性差的缺点,具有药效显著、持效期长、悬浮率高等优点。同时使用安全、环保的溶剂搭配,产品质量稳定、安全低毒、环保。本混剂为水稻苗后除草剂,对一年生杂草尤其是抗性杂草具有很好的防治效果,与噁唑酰草胺、双草醚单剂相比,除草效果明显提高且大大延缓了杂草抗性的提升。
双草醚是苯甲酸类除草剂,是高活性的乙酰乳酸合成酶(ASL)抑制剂,双草醚在喷施到杂草上后可以很快被杂草的茎叶吸收,并传导至整个植株,抑制植物分生组织生长,从而杀死杂草,高效、广谱、用量低。双草醚能有效防除稻田稗草及其他禾本科杂草,兼治大多数阔叶杂草、一些莎草科杂草及对其他除草剂产生抗性的稗草。
噁唑酰草胺与双草醚以适宜的比例进行混配,不但可以提高药效,降低用药量,节约经济成本,减少药剂在环境中的残留。同时还可以延缓杂草抗性的产生,延长药剂的使用寿命,而且通过添加助剂延长药效时间,提升高温或低温环境下的除草效果。
可分散油悬浮剂(OD)具有环境友好、药效高、不需要桶混助剂、使用方便的优势,但是目前涉及噁唑酰草胺与双草醚的OD产品,普遍具有长期贮存分解率高,稳定性差、成本高的缺点,长期贮存或运输过程中会出现分层、结底等问题。鉴于此,上述发明提供了一种含噁唑酰草胺和双草醚的可分散油悬浮剂。
2.颖泰生物取得一项除草剂组合物专利,含有砜吡草唑、苯嘧磺草胺和二甲戊灵
近日,北京颖泰嘉和生物科技股份有限公司申请一项名为“除草剂组合物及其应用”发明专利,授权公告号:CN117461645A,申请日期为2022年7月。
专利摘要显示,本发明涉及除草剂领域,公开了一种杀草谱广、对杂草防治效果显著的除草剂组合物及其应用。本发明的除草剂组合物的活性成分含有砜吡草唑、苯嘧磺草胺和二甲戊灵。本发明提供的除草剂组合物表现出极好的增效作用,降低了农药的使用剂量,因而降低了农民的用药成本和对环境的影响程度。
本发明提供的除草剂组合物,具有以下优点:本发明提供的除草剂组合物表现出极好的增效作用,混合后的组合物较其单剂及其双剂明显提高了除草效果,降低了农药的使用剂量,因而降低了农民的用药成本和对环境的影响程度;本发明提供的除草剂组合物扩大了除草剂的杀草谱,使用本发明提供的除草剂组合物能同时防治多种杂草,使用方便高效,对一年生及多年生禾本科杂草和阔叶杂草均有良好的防治效果。
本发明提供的除草剂组合物是具有不同作用机理的除草剂的复配组合,这样使得各个成份的除草剂的除草特性得到很好的优势互补,能有效延缓杂草对单剂抗性的产生及进展。
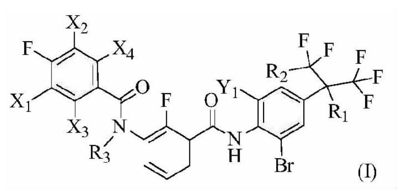
3.海利尔药业集团股份有限公司新获“一种间二酰胺类化合物或其作为农药可接受的盐、组合物及其用途”发明专利
近日,海利尔药业集团股份有限公司新获“一种间二酰胺类化合物或其作为农药可接受的盐、组合物及其用途”发明专利,授权公告号:CN114394912B,授权公告日为2024年1月26日。
本发明属于农药领域,具体涉及一种间二酰胺类化合物或其作为农药可接受的盐、组合物及其用途,所述化合物具有式(I)结构:

式中各基团定义如说明书中所示。本发明的间二酰胺类化合物具有比已知化合物更佳的杀虫活性,并且在低用药量的情况下仍能保持极佳的活性。
4.利尔化学股份有限公司新获“一种2-(5-氟-2-硝基苯氧基)乙酸酯类化合物的合成方法”发明专利
近日,利尔化学股份有限公司新获“一种2-(5-氟-2-硝基苯氧基)乙酸酯类化合物的合成方法”发明专利,授权公告号:CN113045424B,授权公告日为2024年1月26日。
专利摘要显示,本发明涉及农药化工领域,一种2-(5-氟-2-硝基苯氧基)乙酸酯类化合物的合成方法,所述方法是使式(I)化合物和式(Ⅱ)化合物在催化剂作用下进行反应得目标产物;所述催化剂为碘化钠、碘化钾中的至少一种;其中,R1为钠或钾;R2为C1-C6烷基或苄基。该合成工艺对反应后产生的副产物氯化钾,该方法可经过简单过滤可有效分离,从而对其实现资源化利用。另外通过蒸除溶剂的手段可实现溶剂的循环利用,极大减少资源浪费,节约成本,保护环境。
游客可直接评论,建议先注册为会员后评论!
以上评论仅代表会员个人观点,不代表中国农药网观点!



