总投资5.5亿元,年产90000吨农药制剂及研发中心项目拟建!更多农药产品新建、登记及市场动向......
编者按:如果企业是一棵大树,那么产品就是企业的根和生命之源,企业之间的竞争归根结底还是产品的竞争。因此,如何更好地捕获、掌握并进行深入分析研究各种有价值的产品信息,如何研发、生产、登记和推广应用好一个产品,这些对企业都至关重要。我们将在每周日汇总推出行业和企业热点和重点产品有关新建、登记、市场和应用的最新动态,以供企业决策和经营。
一 周 农 药
总投资5.5亿元,年产90000吨农药制剂及研发中心项目拟建
2025年9月19日,百草园生物股份有限公司年产9万吨农药制剂及研发中心项目环境影响报告表受理情况在相关网站公示。
本次工程主要建设4栋厂房、2栋仓库、储运工程、环保工程和辅助工程等,本次工程产品包括农药制剂、水溶性肥料、蚊香、蚊香液、驱蚊花露水和电热蚊香片。主要原料包括农药原药、乳化剂、分散剂、防冻剂、溶剂油等,主要采用混合复配工艺,主要购置配置釜、过滤器、剪切机、自动灌装机、机器人码垛机等设备。
表1 项目主要产品及产能表

年产1300吨杀菌剂原药及4250吨制剂项目竣工验收
近日,浙龙药业有限公司噻菌铜原药及制剂生产项目竣工环境保护验收监测报告在相关网站公示。
总生产规模5,550 t/a,其中噻菌铜原药1,300 t/a、悬浮剂(含液剂和水乳剂)3,500 t/a、可湿性粉剂750 t/a(本次验收规模)。
2023年3月该项目开工建设,2024年4月生产车间、综合楼、仓库等工程全部建设完成,随后企业对噻菌铜原药及制剂生产线进行安装并开始试生产调试。2025年8月浙龙药业有限公司组织对本项目进行竣工环境保护验收监测工作。
本次验收范围为噻菌铜原药及制剂生产线建设厂房、仓库、综合服务楼及相关配套设施。
表1 主要项目产品方案及生产规模


河北兴柏拟新建利福霉素S钠盐项目
近日,河北兴柏农业科技股份有限公司新建150吨/年利福霉素S-Na盐项目在相关网站公示。
本次扩建项目在厂区内实施,项目计划占地面积为10,000m2(15亩),不新增占地面积,利用闲置车间约8,000m2,新建一条年产150吨利福霉素S-Na盐生产线。产品是利福霉素S-Na盐。
河北兴柏农业科技股份有限公司3个现有工程分别为:年产6万立方米新型建材项目(位于集团中东部)、年产1万吨制剂项目(位于集团西南部,甲维盐项目北侧)、年产1,600吨甲维盐项目(位于集团西南部),1个在建项目为年产800吨多杀霉素项目(集团中部偏北)。已验收部分项目生产过程中产生的废气、废水、噪声和固废均采取了有效的污染防治措施。
新型三唑类杀菌剂异三氟菌唑/伊芬三氟康唑,高效防治锈病、叶斑病等
伊芬三氟康唑(ipfentrifluconazole)是巴斯夫公司2012年新开发的三唑类杀菌剂,其结构与巴斯夫同时期开发的三唑类杀菌剂氯氟醚菌唑结构十分相似,仅为甲基和异丙基的区别,作用机理同为甾醇生物合成抑制剂。与“爆火”的氯氟醚菌唑不同的是目前伊芬三氟康唑并未进行商业化开发。

01 产品简介
英文名称:ipfentrifluconazole
中文名称:伊芬三氟康唑
其他名称:异三氟菌唑
化学名称:rac-(2R)-2-(4-(4-氯苯氧基)-2-(三氟甲基)苯基)-3-甲基-1-(1H-1,2,4-三唑-1-基)丁-2-醇
分子式:C20H19Cl F3N3O2
相对分子质量:425.832
CAS登录号:1417782-08-1
结构式:

三维结构式:

理化性质:沸点532.3±60.0 °C(Predicted);密度1.33±0.1 g/cm3(Predicted);酸度系数(pKa)12.54±0.29(Predicted)
02 作用机理
与氯氟醚菌唑一样,伊芬三氟康唑也属于膜中甾醇生物合成抑制剂,作用于膜中甾醇生物合成中的C14-去甲基酶。通过阻止麦角甾醇的生物合成,抑制细胞生长,破坏菌体细胞膜功能。与其他三唑类杀菌剂不同的是,其分子中含有的异丙醇基团,使其能从游离态自由旋转与靶标结合成为结合态,减少病菌突变,延缓抗性的产生和发展,因此,其对多种抗性菌株始终保持高效,可以解决常规三唑类杀菌剂不能解决的抗性问题。
03 应用
应用作物:谷物、玉米、小麦、果树、蔬菜、观赏作物等
防治病害:果树(柑橘、苹果、梨、葡萄等)炭疽病,早疫病(番茄、马铃薯),褐斑病,白粉病(小麦、月季、黄瓜),锈病、叶斑病,靶斑病、赤霉病、灰霉病等
可开发剂型:25%伊芬三氟康唑SC
实验证明:伊芬三氟康唑对番茄灰霉病菌的抑制中浓度(EC)为0.43μg/ml,对黄瓜白粉病菌的EC为1.17μg/mL,毒力系数(ATI)均达到100。对小麦赤霉病菌的EC为0.53μg/mL,ATI为60.38。对香蕉叶斑病菌的EC和ATI分别为0.41μg/mL和56.098。对瓜类白粉病菌的 EC和 ATI分别为7.42 μg/mL 和 41.105。

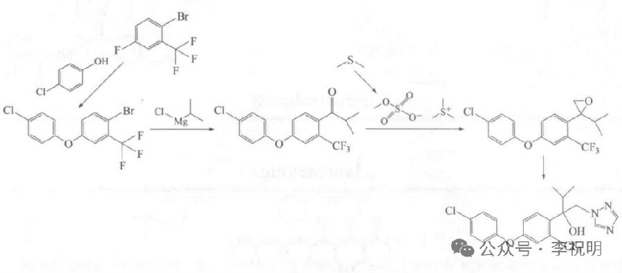
04 合成路线
参考氯氟醚菌唑的合成路线,主要涉及4-氯苯酚、含三氟甲基的苯环衍生物(如4-氟-2-三氟甲基苯乙酮)以及1,2,4-三氮唑等中间体。

05 复配推介
伊芬三氟康唑+苯并烯氟菌唑:防治锈病、白粉病、纹枯病、叶斑病、黑斑病、菌核病、网斑病、褐 斑病、云纹病、灰霉病、黑胫病、葡萄穗轴褐枯病、苹果斑点落叶病、黑星病、散黑穗病、丝黑 穗病、疮痂病、小麦赤霉病和小麦全蚀病等
伊芬三氟康唑+春雷霉素:能有效水稻纹枯病,在试验用药范围内对标靶作物无不良影响。
伊芬三氟康唑+氟吡菌酰胺:通过与氟吡菌酰胺按质量比1:50~50:1混配时,对番茄灰霉病菌和小麦赤霉病有增效作用,其中配比在20:1~1:20时增效作用最显著,共毒系数>160。
伊芬三氟康唑+氟唑菌酰羟胺:适合于防治禾谷作物及瓜菜上的多种病害,尤其适合于防治小麦赤霉病、瓜类白粉病、香蕉叶斑病。
06 前景展望
三唑类杀菌剂因其优异的治疗效果,成为目前谷物田高效控制病害的重要工具,伊芬三氟康唑作为十余年来三唑类杀菌剂的新品种,主要用于防治锈病、叶斑病、纹枯病等。通过与苯并烯氟菌唑、氟唑菌酰羟胺等其他作用机制的杀菌剂复配,能显著改善传统三唑类杀菌剂因抗性问题导致的田间防效降低的问题。巴斯夫对与之结构相近的氯氟醚菌唑给予了厚望,并在全球取得了较好的市场反馈,但目前关于伊芬三氟康唑开发进展的报道不多,其具体的产业化进度、确切的商业化推广策略以及最终的市场表现,目前都存在较大的不确定性。它的未来,很大程度上取决于巴斯夫后续的研发投入、市场定位以及在全球主要农业市场的登记推进情况。
游客可直接评论,建议先注册为会员后评论!
以上评论仅代表会员个人观点,不代表中国农药网观点!



